
当前,强化学习(RL)在提升大语言模型(LLM)推理能力方面展现出巨大潜力。DeepSeek R1、Kimi K1.5 和 Qwen 3 等模型充分证明了 RL 在增强 LLM 复杂推理能力方面的有效性。
然而,要实现有效的强化学习,需要解决一个根本性的挑战,即信用分配问题(credit assignment):在大语言模型的场景下,如何将整个序列(LLM 的回复)最终的评估结果,归因到序列中具体的决策动作(token)上。
这一问题的困难在于奖励信号非常稀疏 — 只能在序列结束时才能获得明确的成功或失败反馈。
当前主要方法
在强化学习中,通常采用优势值估计(advantage estimation)的方法来解决信用分配问题。目前针对大语言模型的强化学习方法主要分为两类,它们之间的区别在于优势值估计的粒度不同。
粗粒度的轨迹级 (trajectory-level) 方法,如 DeepSeek R1 使用的 GRPO,只根据最终的奖励为整个序列计算一个优势值。这种方法虽然高效但反馈信号过于粗糙,LLM 无法对错误回答中正确的部分进行奖励,也无法对正确回答中冗余的部分进行惩罚。
另一种极端是细粒度的 token 级(token-level)方法,如经典的 PPO。这类方法为每个 token 估计优势值,需要依赖额外的 critic 模型来预测每个 token 的状态价值(V 值)。然而,在大语言模型的强化学习任务中,不同 prompt 对应的轨迹分布差异很大,而且在训练过程中每个 prompt 采样出来的模型回复数量非常有限,critic 模型难以训练好,造成 token 级的优势值估计误差很大。
新的 SPO 框架
为突破这一瓶颈,来自中科院软件所和香港城市大学的的研究团队创新性提出了 Segment Policy Optimization (SPO) 框架。

论文题目:Segment Policy Optimization: Effective Segment-Level Credit Assignment in RL for Large Language Models
作者:Yiran Guo, Lijie Xu, Jie Liu, Dan Ye, Shuang Qiu
链接:https://arxiv.org/abs/2505.23564
代码链接:https://github.com/AIFrameResearch/SPO
SPO 使用了一种中等粒度的段级(segment-level)优势值估计方式。它不像轨迹级方法只在最后一步计算优势,也不像 token 级方法每步都计算优势,而是将生成的序列划分为若干相连的段,计算每个段的优势值。
这种段级的优势值估计方式具有几个明显的优势:
(1) 更优的信用分配:相比轨迹级方法,段级方法能够提供更局部化的优势反馈,让模型能够奖励错误回答中仍然有价值的部分,同时也能惩罚正确回答中冗余和无效的片段。
(2) 更准确的优势值估计:相比 token 级方法,段级方法所需的估计点数量更少,从而能够有效利用蒙特卡洛(Monte Carlo, MC)采样得到更加准确且无偏的优势值估计,而无需再依赖额外且不稳定的 critic 模型。
(3) 更灵活、更易调整:段级的划分方式可以任意定义,并不要求语义上的完整性,因此可以灵活地在 token 级与轨迹级之间自由调整粒度,并且可以适应不同的任务和应用场景。
SPO 框架主要包含三个核心部分:(1) 灵活的段级划分策略;(2) 基于蒙特卡洛采样的段级优势值估计;(3) 利用段级优势值进行策略优化。
这种模块化的设计使框架具备高度的灵活性,不同的部分可以有不同的实现策略,以适用不同的应用场景。
该团队进一步针对不同的推理场景提出 SPO 框架的两个具体实例:对于短的思维链(chain-of-thought, CoT)场景,提出了 SPO-chain,该方法使用基于切分点(cutpoint-based)的段划分和链式优势值估计;对于长 CoT 场景,提出极大提升 MC 采样效率的树形结构优势值估计方法。
此外,该团队还提出了一种 token 概率掩码(token probability-mask)策略优化方法,选择性的对段内的低概率 token 计算损失而非段内的所有 token。作者认为这些 token 是模型推理轨迹可能发生分叉的地方,是段级优势值产生的主要原因。这种方法可以用于 SPO-chain 和 SPO-tree,从而进一步强化信用分配。
框架及核心技术
SPO 框架主要围绕以下三个具有挑战性的问题进行设计:(1) 如何将生成的序列划分为多个段?(2) 如何准确且高效地估计每个段对应的优势值?(3) 如何利用段级优势值来更新策略?SPO 的三个核心模块分别解答上面三个问题,每个模块包含多种可选策略,来适用于不同的场景:

1. 段划分 (Segment Partition):
a) 基于切分点的段划分 (Cutpoint-based Partition): 为短思维链场景设计,将段划分点放置在状态值(V 值)更有可能发生变化的地方。根据 token 概率动态确定段边界,优先在模型 “犹豫” 或可能改变推理路径的关键点(cutpoints)进行划分,使信用分配更精确。比如,在下图例子中,标记为红色的 token 是关键点,而标记为蓝色的竖杠是分段结果。

b) 固定 token 数量段划分 (Fixed Token Count Partition): 将序列划分为固定长度的段,便于树形结构的组织和优势值估计,为 SPO-tree 设计。
2. 段级优势值估计(Segment Advantage Estimation):

a) 链式优势值估计 (Chain-based) 方法:在短思维链场景下,MC 采样的成本不高,该团队采用一种直接的段级优势值估计方式,独立估计每个段边界的状态值(V 值),然后计算段级优势值。以下公式展示了链式优势值的估计方法。


b) 树形优势值估计 (Tree-based): 在长思维链场景下,MC 估计的代价很高,团队提出了一种高效的树形估计方法:将采样轨迹组织成树形结构,通过自底向上的奖励聚合计算状态价值(V 值),同一个父节点的子节点形成一个组,在组内计算每个段的优势值。这种方式将用于 V 值估计的样本同时用于策略优化,极大提高了样本效率。以下公式展示了树形优势值估计方法。
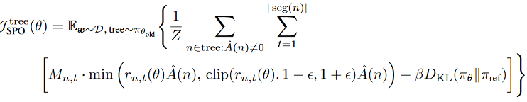
3. 基于段级优势值 token 概率掩码策略优化(Policy Optimization Using Segment Advantages with Token Probability-mask):在得到段级优势值以后,为了进一步提高信用分配,团队创新性地提出 token 概率掩码策略优化方法,在策略更新仅将段级优势值分配给该段内的低概率(关键)token,而非所有 token。这种方法能更精确地将奖励 / 惩罚赋予关键的决策点,提升学习效率和效果。下面分别展示了 SPO-chain 和 SPO-tree 的优化目标。
a) SPO-chain 优化目标:


b) SPO-tree 优化目标:


对比基线方法
如下图所示,在短思维链场景,使用 RhoMath1.1B 作为基座模型,使用 GSM8K 训练集进行训练,对比各种训练算法,使用 SPO 训练得到的模型测试集正确率更高。

对于长思维链场景,如下图所示,使用 DeepSeek-R1-Distill-Qwen-1.5B 作为基座模型,使用 MATH 数据集进行训练,在相同的训练时间下,测试集正确率比 GRPO 更高。

下表展示了在长思维链场景下的更多对比结果:与同期基于相同基座模型(DeepSeek-R1-Distill-Qwen-1.5B)并使用 GRPO 方法训练得到的模型(DeepScaleR、STILL-3)相比,尽管 SPO 仅使用 MATH 数据集且仅使用 4K 的最大上下文长度进行训练,SPO-tree 在各个上下文长度评测下表现优秀。值得注意的是,尽管 DeepScaleR 在 32K 上下文长度评测下表现最佳,但它在较短上下文长度(2K 与 4K)下却表现最差,甚至不及原始基座模型。这表明,GRPO 训练方法可能未有效优化模型的 token 效率,导致输出存在较多冗余,从而在上下文长度有限的情形下出现正确率下降的问题。

分段粒度的影响

通过实验发现,很细的粒度 (int2,每个两个切分点进行分段),相比于中等粒度 (int5),仅有微小提升,但是过粗的粒度 (int100),相比于中等粒度 (int5),正确率下降很大。证明了 SPO 采用中等粒度优势值的有效性。
段划分方式的影响

实验表明,在短思维链场景下,采用提出的基于切分点的段划分方式效果最好,优于采用换行符进行划分(VinePPO)以及固定 token 数量划分(Fixed-token-count)。
Token 概率掩码消融

实验表明,将 token 概率掩码去除会导致 SPO-chain 正确率下降,更值得注意的是:将 token 概率掩码应用到 GRPO 上,会让其正确率有明显上升。
不同树结构的影响

实验表明,更小的树结构在早期正确率更高,可能因为更快扫过更多的数据样本。然而随着训练的进行,更大的树结构会有更好的正确率,因为更大的树结构对于段级优势值的估计更加准确。
总结
该工作提出了一种基于中间粒度段级优势值的 RL 训练框架 SPO,在 token 级和轨迹级之间更好的平衡,具有比轨迹级更好的信用分配,同时仅需要少量优势值估计点,可以使用有效无偏的 MC 方式进行估计,不需要额外的 critic 模型。
文章同时提出了 SPO 的两个实例,为短思维链场景设计的 SPO-chain 以及为长思维链场景设计的 SPO-tree,通过实验证明了 SPO 框架和两个实例的有效性。