AIxiv专栏是机器之心发布学术、技术内容的栏目。过去数年,机器之心AIxiv专栏接收报道了2000多篇内容,覆盖全球各大高校与企业的顶级实验室,有效促进了学术交流与传播。如果您有优秀的工作想要分享,欢迎投稿或者联系报道。投稿邮箱:liyazhou@jiqizhixin.com;zhaoyunfeng@jiqizhixin.com
本文的通讯作者是北京大学计算机学院长聘教授李戈。第一作者:董益宏,北京大学计算机学院 22 级博士生,曾在 ISSTA、FSE、ACL、NeurIPS、TOSEM 等 CCF-A 类 / SCI 一区国际顶级会议和期刊上发表 11 篇学术论文。




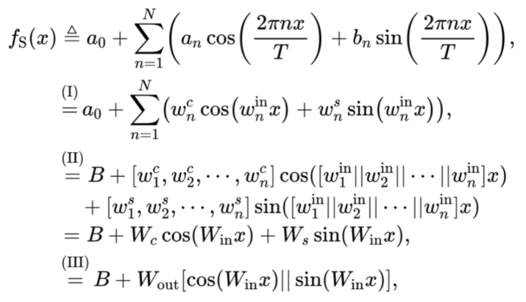
表示函数的傅里叶级数展开,我们可以将
表示为:
是可学习参数,(I) 根据
和
通过定积分计算,(II) 和 (III) 是矩阵运算的等价形式,[・||・] 和 [・,・] 分别表示沿第一维度和第二维度的连接。为了充分利用深度学习的优势,我们可以堆叠上述网络
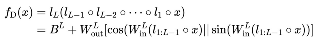
形成深度神经网络
,其中第 i 层表示为
。因此,
可以表示为:
表示左侧函数
作用于右侧输入
,即
。然而,我们发现直接堆叠
会导致模型
的主要参数集中于学习角频率 (
),从而忽略了傅里叶系数 (
和
) 的学习,如下所示:
定义为
,
用于近似角频率,
用于近似傅里叶系数。因此,拟合傅里叶系数的能力与的深度无关,这是一个不理想的结果。
解耦为:
其中
和
而不是依次应用它们。
定义如下:
是可学习参数,
表示激活函数。
的堆叠:





